【1,047円】最新の岡山の最低賃金|そもそも最低賃金とは?基本から解説
賃金の最低限度を定める「最低賃金」は、すべての労働者に適用される重要な制度です。
法令を守ることはもちろん、従業員の生活を保障し、生産性を向上させるためにも、会社の代表者や人事労務担当者は必ず押さえておきたい基礎知識です。
【この記事でわかること】
- 岡山の最新の最低賃金額はいくら?
- 最低賃金は誰が対象になるのか
- 月給、日給、歩合給、それぞれの最低賃金の計算方法
- 最低賃金を引き上げるときに使える助成金や支援
目次
2025年現在の岡山県の最低賃金
2025年8月20日、岡山労働局の審議会は最低賃金を時給1,047円とするように岡山労働局長に答申しました(前年度から65円増)。答申通りに決まると、岡山県では初めて最低賃金が1,000円を超えます。
先に行われた厚生労働省の中央最低賃金審議会は、2025年度(2025年10月〜改定予定)の岡山県の最低賃金の引き上げ額の目安を63円としており、それを上回る答申となりました。
最低賃金の決まり方は後述しますが、今後は異議申し立ての手続きなどを経て、正式に決定され、12月1日から適用される見込みです。
【直近の岡山県の最低賃金の推移】
| 年度 | 金額 |
|---|---|
| 令和7年(2025年)答申 | 1,047円 |
| 令和6年(2024年) | 982円 |
| 令和5年(2023年) | 932円 |
| 令和4年(2022年) | 892円 |
| 令和3年(2021年) | 862円 |
| 令和2年(2020年) | 834円 |
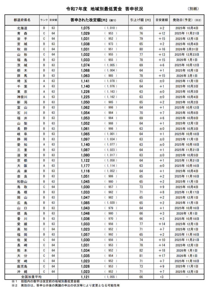
他の都道府県の最低賃金(令和7年度/答申状況)※2025年9月5日時点
▼答申のポイント
- 初の全都道府県で1,000円超え
- 引き上げ額は熊本県の82円が最高
- 全国加重平均額は1,121円
最低賃金制度とは
最低賃金制度とは労働者に支払われる賃金の最低限度を定めたルールで、「最低賃金法」という法律によって定められています。
最低賃金制度には以下のような目的があります。
- 労働者の生活を安定させる
- 労働者のモチベーションを向上させ、労働の質を改善させる
- 企業間の賃金競争を公平に行わせる
- 労働者の消費の促進、経済を活性させる
参考:最低賃金法 第1条
最低賃金の対象
最低賃金は正社員、パート、アルバイト、外国人労働者など、すべての労働者に適用されます。
よく「最低賃金はアルバイトやパートのルール」「正社員には関係ない」という声が見られますが、例外なく全ての労働者に適用されます。
最低賃金の種類
最低賃金には「地域別最低賃金」と「特定最低賃金」の2種類があります。

最低賃金制度の基本となるのが「地域別最低賃金」です。同じ都道府県内で働くすべての労働者に適用されます。
金額はまず「中央最低賃金審議会」で決定され、その後「地方最低賃金審議会」の審議を経て、各都道府県ごとに定められます。
一方の「特定最低賃金」は、地方最低賃金審議会が「地域別最低賃金よりも高い金額が必要だ」と判断されたときに設定されます。
具体的にはその特性から労働者を確保するのが難しい産業などに設定されます。2025年3月末現在、全国で224件、約296万人の労働者が対象です。
※ 例えば、岡山県の「鉄鋼業」の最低賃金(令和6年12月)は、「地域別」の982円を上回る1,102円です。
最低賃金の発効時期(いつから?)
「地方最低賃金審議会」から各都道府県の労働局長に答申された金額は、手続きを経て正式に決定され、10月から発効されるのが慣例でした。
しかし令和7年度(2025年度)は、例えば秋田県では令和8年3月31日に発効される予定など、27府県が発効を11月以降に予定しています。
これは「中央最低賃金審議会」で示された目安が過去最高の引き上げ幅であり、使用者側が急に対応するのが難しく準備期間を求めたことによって、発効が遅れていると言われています。
最低賃金の計算方法
最低賃金に含まれるもの、含まれないものを理解することが重要です。

上図のとおり、最低賃金に含まれるのは定期給与(毎月支払われる基本的な賃金)の中の所定内給与である「基本給」と「諸手当(職務手当、住宅手当など)」です。
※ 諸手当のうち「精勤手当」「通勤手当」「家族手当」は最低賃金に含まれません。
※ 固定残業代は最低賃金の対象です。
月給、日給制の場合の計算
月給、日給の場合は、時間あたりの賃金を計算して確認する必要があります。
- 月給の場合
月給(円)÷ 1ヶ月の平均所定労働時間 ※ = 時間あたりの賃金 - 日給の場合
日給(円)÷ 1日の平均所定労働時間 ※ = 時間あたりの賃金 - 月給と日給が組み合わさっている場合
(例:基本給が日給、手当が月給の場合)- ① 基本給を2で計算
- ② 手当を1で計算
- ①と②を合算
※1ヶ月の平均所定労働時間は次のとおり算出します。
(365日 – 年間休日)× 1日の所定労働時間数 ÷ 12
※ 1日の所定労働時間に休憩時間は含みません。
以下では、月給から最低賃金を確認できる簡易的なチェックツールが公開されています。
歩合制や出来高払制の場合
賃金に歩合制、出来高払制が含まれている場合であっても、最低賃金は守られなければいけません。
例えば固定給と歩合給が組み合わさっている場合、固定給部分と歩合給部分それぞれで時給を計算し、合算して時給を出します。
- 固定給部分:固定給 ÷ 所定労働時間
- 歩合給部分:歩合給の総額 ÷ 総労働時間
※労働基準法第27条では、使用者が労働時間に応じた一定額の賃金を保障しなければいけないことが定められています。つまり、日本では従業員に対して完全歩合制を採用することはできません。
最低賃金の引き上げに関わる助成金・支援
労働者の最低賃金を引き上げたときに申請できる可能性がある助成金を確認しておきましょう。
- 業務改善助成金
事業場内の最低賃金を引き上げた中小企業・小規模事業者で、設備投資などを行ったとき、その費用の一部が助成される - キャリアアップ助成金
賃金規定等を改定して、非正規労働者の基本給を3%以上賃上げしたとき、助成される - ものづくり補助金、IT導入補助金
生産性向上や業務効率に資する設備投資、ITツール導入に対して助成される。申請の際に最低賃金の引き上げ幅以上賃上げ努力を行うと、加点措置がある - 中小企業向け賃上げ促進税制
雇用者給与等支給額を前年度より1.5%以上増加させたとき、最大で40%の税額控除を受けられる
関連記事:2025(令和7)年 キャリアアップ助成金の改正ポイント(正社員化コース)を解説
上記以外にも賃上げを行う中小企業に向けた支援が国、各地域で用意されています。
参考:最低賃金引上げに向けた中小企業・小規模事業者への支援事業 |厚生労働省
最低賃金に関する注意点
最後に最低賃金や計算方法などにかかわる注意点をまとめます。
派遣労働者の最低賃金
派遣労働者は派遣元の会社の所在地ではなく、派遣先の地域・事業場の最低賃金が適用されます。
例えば広島の派遣会社から岡山の事業場に派遣される場合、岡山の最低賃金が適用されます。
最低賃金ギリギリの給与設定のリスク
企業の事情によりますが、最低賃金ギリギリで給与を設定すると、以下のようなリスクが懸念されます。
- 最低賃金が引き上げられたとき、即座に対応しないことで法令違反になる可能性
- 従業員のモチベーションの低下(自分の労働価値が最低限しかないと感じでしまう)
- 優秀な人材確保が難しくなる など
最低賃金を下回る場合の罰則
地域別最低賃金を下回る賃金を支払った場合、事業主に対して50万円以下の罰金が課されます(最低賃金法第40条)。
また特定最低賃金が適用される事業場で違反した場合は、30万円以下の罰金が課されることがあります。
最低賃金改定で賃金を引き上げるときの対応
最低賃金が改定され賃金の引き上げを行う際は、以下の手順で手続きします。
- 最新の最低賃金の確認
- 賃金の計算(基本給、諸手当から時間あたり賃金を算出)
- 給与体系の見直し(就業規則、賃金規定などの改定)
- 労働条件通知書・雇用契約書の更新
- 給与計算システムの更新
最低賃金について相談するなら、まき社会保険労務士事務所へ
岡山市のまき社会保険労務士事務所では「お客様の悩む時間をゼロにしたい」という思いのもとで、社会保険等届け出・就業規則の作成・給与計算・助成金等の申請を行っています。
「気軽に相談できる身近なパートナー」となるべく、可能な限りサポートさせていただきます。岡山市周辺の方はもちろん、全国オンライン対応しておりますので、ぜひお問い合わせください。
お問い合わせ
まき社会保険労務士事務所 代表
社会保険労務士 牧 あや
まき社会保険労務士事務所

